

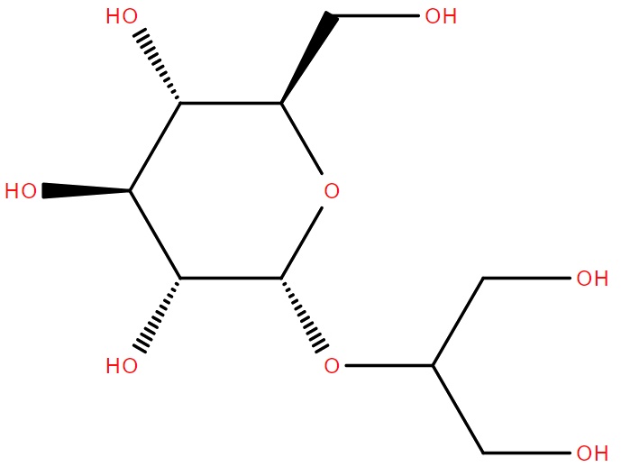
化學(xué)名稱(chēng): | 甘油葡糖苷 |
英文名稱(chēng): | GLYCERYL GLUCOSIDE |
CAS號(hào): | 22160-26-5 |
HS編碼 | 3824999999 |
化學(xué)式: | C9H18O8 |
分子量: | 254.234 |
中文別名: | 甘油葡萄糖苷; 格萊可因; 極美絲GG; 甘油葡糖苷; 格萊可因(甘油葡糖苷); 甘油葡糖苷復(fù)活草提取物; 2-O-(Α-D-吡喃葡萄糖基)-甘油 |
英文別名: | glucosylglycerol(格萊可因) glucosylglycerol; 2-O-α-D-Glucosylglycerol;Extremys GG; GLYCERYL GLUCOSIDE; 2-O-α-D-Glucosylglycerol: Glucosylglycerol: Extremys GG: Glycoin: GLYCERYL GLUCOSIDE; Skycore AGG |